Published on Development Impact

Is the learning crisis partly a motivation crisis? Guest post by Ridwan Hossain.

This page in:
Is the learning crisis partly a motivation crisis? Guest post by Ridwan Hossain.

This is the 29th in this year’s series of posts by PhD students on the job market.

Across many low- and middle-income countries, education systems are facing a profound learning crisis. More than half of 10-year-olds cannot read a simple text, and over 600 million children and adolescents lack basic reading or mathematics skills despite being enrolled in school (World Bank, 2019; UNESCO, 2023).

The consequences are significant. Children who fall behind early are more likely to disengage from school and drop out, while weak learning in the long run lowers productivity, depresses lifetime earnings, and slows economic growth. A large body of cross-country evidence links low learning outcomes to substantial long-run income losses at the national level (Hanushek and Woessmann 2015).

Yet amid widespread concern about low learning levels, an important question receives too little attention. What if part of this “learning crisis” is not about what students know, but about how much effort they choose to exert during evaluations? Many large-scale assessments in low- and middle-income countries (e.g., ASER, 2018), as well as national learning surveys, are low-stakes for students. They carry no consequences, no grades, and no direct rewards. As a result, students have little reason to try their hardest on these tests. If they are unmotivated or inattentive during these assessments, their scores may understate what they actually know. This distinction matters. If part of the learning crisis reflects low effort, then existing measurement tools may be masking real learning. Could low-cost incentives, especially in the form of non-cash rewards, help reveal their true knowledge?

This question lies at the heart of my job market paper, which shows how incentives affect student performance in urban Bangladesh. In particular, I experimentally vary motivation with pecuniary and non-pecuniary rewards during an exam to measure how motivation shapes performance.

The Incentives Experiment

The study was conducted in eight schools in Dhaka with 1,562 students in grades 6–8. Students were randomly assigned at the individual level to one of six groups: Cash Gain, Cash Loss, Certificate Gain, Certificate Loss, Public Recognition, and Control. In the cash groups, students could receive a small reward of 50 Bangladeshi taka, about 0.50 US dollars. In the gain-framed groups, students earned the reward only if they scored at least 80 percent. In the loss-framed groups, they received the reward upfront and would lose it if they fell below the threshold. The non-cash incentives followed the same structure. Students could earn a certificate of excellence along with a letter sent to their parents, or public recognition through having their photograph displayed on the school bulletin board.

The incentive was announced immediately before the test began, ensuring that students had no extra time to prepare and that any performance differences reflected effort during the exam rather than additional studying.  Each student completed two short, timed tests in one sitting. The first test was incentivized, while the second test was identical but carried no incentives. This design makes it possible to compare what students know (unincentivized performance) with what they choose to demonstrate when motivated (incentivized performance). Random assignment ensures that any performance differences across groups can be causally attributed to the incentive structures.

Small Incentives, Big Reveals

Every form of incentive improved performance relative to the control group. Figure 1 shows that all types of incentives boosted performance, with monetary rewards having the strongest effects, while certificates and social recognition also yielded clear gains of around 0.2 to 0.3 standard deviations. These results underscore that even simple forms of recognition and non-monetary rewards can powerfully motivate effort, particularly in low- and middle-income contexts, suggesting that traditional learning assessments may systematically underestimate students’ true proficiency.

Figure 1: Impact of incentives on test scores across treatment armsThe World Bank

 

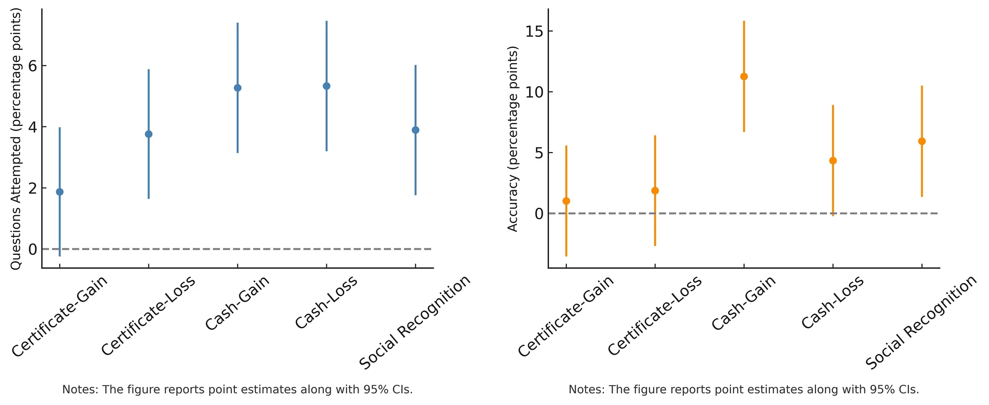
The effects of incentives extend beyond higher scores and influence how students approach the test. As Figure 2 shows, students who received incentives attempted more questions toward the end of the exam and maintained higher accuracy even when fatigue would normally set in. This pattern is consistent with previous research showing that declining performance during a test often reflects declining effort rather than limited ability (Gneezy et al., 2019; Borghans and Schils, 2013; Zamarro et al., 2016). In this context, incentives appear to help sustain attention and motivation throughout the test rather than prompting random guessing. Monetary rewards produced the largest increases in both attempts and accuracy, while certificates and public recognition led to meaningful improvements, showing that even simple and symbolic rewards can motivate genuine effort.

Figure 2: Incentives and EffortThe World Bank

 

 

 

I also find that effort did not fade as soon as the incentives were removed. On the subsequent unincentivized test, students continued to perform better than the control group. This persistence may reflect how the brain processes rewards: receiving a reward releases dopamine, a chemical that drives motivation and satisfaction and strengthens the link between effort and performance (Schultz, 1998). However, this effect likely reflects short-term motivation rather than lasting changes in learning, so it should be interpreted with caution. It is not evidence of a real or sustained improvement in learning outcomes.

Who Benefits Most?

Girls responded especially strongly to the incentives. Their scores rose more than boys’, particularly when the reward involved recognition from parents. This suggests that social validation can be a powerful motivator for girls, and that part of the gender gap in test performance may reflect differences in how students respond to encouragement rather than differences in knowledge. Making achievement visible to families and peers can help create an environment where girls feel more confident demonstrating what they know.

Younger students also showed larger improvements. This is consistent with behavioral evidence and with my finding that younger learners respond more strongly to immediate and salient rewards. At this age, attention and self-regulation are still developing, so small incentives can meaningfully sustain effort. As students grow older, motivation becomes more influenced by longer-term goals, making short-run incentives less effective. The stronger response among younger students suggests that simple, low-cost rewards may be particularly useful during a formative period when learning behaviors are still highly malleable.

Policy Implications

Low-stakes exams may underestimate true learning, that is, roughly one in fourteen students could be misclassified as “non-performing.” Yet small and inexpensive incentives can help reveal this hidden learning. The findings highlight the importance of considering motivation when measuring learning. Standardized tests and national surveys often assume that low scores reflect low knowledge, but part of the learning gap may instead come from low effort in low-stakes settings. Incorporating small, symbolic incentives can yield more accurate assessments of what students actually know.

These rewards can be implemented in extremely low-cost settings to both detect and encourage learning. In this study, offering a cash reward of about 50 cents (roughly USD 1.75 in purchasing-power–adjusted terms) to students who met a performance threshold increased test scores by about 0.45 standard deviations, while offering lower-cost, non-monetary rewards such as certificates and public recognition led to meaningful gains of about 0.18 standard deviations. This contrast highlights that even very small budgets can be used effectively, and that how resources are allocated matters for motivating student effort. Finally, because motivation interacts with gender, incentives that involve public acknowledgment or parental recognition may be especially powerful for girls. Assessment systems that celebrate achievement, rather than simply record it, can help foster both learning and equity.

Conclusion

What appears to be a learning crisis may, in part, be an attention and motivation crisis. When students have a reason to try, their potential becomes visible, as does the promise of policies that value recognition rather than resources alone. Small incentives cannot replace better teaching or higher investment, but they can transform how we interpret test scores and design programs that foster learning. Sometimes, revealing what students already know is the first step toward helping them learn more.

Ridwan Hossain is a Ph.D. candidate at Fordham University. 


Join the Conversation

The content of this field is kept private and will not be shown publicly
Remaining characters: 1000