Publié sur Opinions

Susciter la confiance pour sauver des vies : l’exemple du don d’organes en Tunisie | Un billet de Christina Sarah Hauser

Susciter la confiance pour sauver des vies : l’exemple du don d’organes en Tunisie  | Un billet de Christina Sarah Hauser

Ce billet est le septième de la série publiée cette année par des doctorants en recherche d’emploi.

Chaque année, des milliers de personnes meurent alors qu’elles attendent une greffe d’organe. Le principal obstacle n’est pas la technologie ou l’expertise médicale : dans de nombreux pays à revenu faible ou intermédiaire, les transplantations sont techniquement possibles, mais le nombre d’organes à disposition est bien inférieur aux besoins. Pourquoi ? En Tunisie, notre étude exploratoire a révélé que la population manque souvent de connaissances élémentaires sur le fonctionnement du don d’organes, se méfie des institutions qui en sont responsables et s’inquiète des risques de trafic et des interdits religieux, cette dernière préoccupation étant infondée puisque l’islam encourage fortement le don d’organes.

Les réformes réglementaires ne suffisent pas toujours. En 1991, la Tunisie a introduit le « consentement présumé », suivant l’exemple de plusieurs pays européens qui ont connu une forte augmentation des dons d’organes après en avoir fait l’option par défaut. Toutefois, ce consentement présumé ne fonctionne que dans les sociétés où la confiance institutionnelle est élevée. Or en Tunisie, les autorités ont anticipé les réactions du public et, dans la pratique, demandent toujours l’accord de la famille lorsque les souhaits du défunt ne sont pas clairs. Malheureusement, les taux de refus des familles restent élevés et le fort déséquilibre entre la demande et l’offre perdure.

Compte tenu du manque de sensibilisation et de confiance, nous avons émis l’hypothèse que les experts locaux seraient les mieux placés pour faire connaître le don d’organes et renforcer la crédibilité des institutions médicales. Mon article de post-doctorat (a) pose la question de savoir si une intervention informative animée par des experts peut changer l’opinion de jeunes adultes sur le don d’organes. Plus important encore, une telle intervention peut-elle réellement modifier les comportements et entraîner une augmentation du nombre d’inscriptions au don d’organes ?

L’intervention

En collaboration avec le Centre national pour la promotion de la transplantation d’organes (CNPTO), nous avons mis sur pied une intervention à but informatif et l’avons évaluée dans le cadre d’un essai contrôlé randomisé organisé dans une université tunisienne. L’intervention s'est déroulée au printemps 2025, auprès de 980 étudiants de premier cycle, selon une répartition aléatoire par classe. D’une durée d’environ 30 minutes au total, elle comportait trois grandes séquences :

  1. Un témoignage de patient : une courte vidéo (a) d’une bénéficiaire d’une transplantation cardiaque dans la région rurale de Béja.

  2. Une séance d’information animée par des experts : des médecins et des techniciens sont venus dans les classes pour expliquer la procédure médicale et le cadre juridique en Tunisie, ainsi que les règles religieuses en faveur du don d’organes.

  3. Une séance de questions-réponses : les participants ont pu exprimer leurs doutes et poser des questions aux experts.

Avant l’intervention, nous avons collecté des données de référence détaillées, notamment sur le réseau social des étudiants afin de tester les effets indirects. Ces données de départ confirment que la randomisation a bien fonctionné. La principale difficulté que nous avons rencontrée était de mesurer les comportements réels. En effet, en Tunisie, les adultes peuvent officiellement déclarer leur souhait de faire don de leurs organes en ajoutant le mot « donneur » à leur carte d’identité nationale, mais il n’existe pas de registre accessible au public. Grâce à une collaboration avec la police technique et scientifique tunisienne, nous avons pu proposer aux étudiants de modifier leurs cartes d’identité pendant les deux jours suivant l’intervention sur le campus.

Quels sont les principaux résultats de l’intervention ?

L’information est efficace :

●        L’inscription des donneurs a augmenté : 11 étudiants du groupe informé se sont inscrits, contre seulement trois dans le groupe témoin, ce qui se traduit par une hausse de 1,8 point de pourcentage (figure 1, graphique A). Cela signifie que le nombre d’inscriptions du groupe expérimental est plus de deux fois supérieur à celui du groupe témoin.   

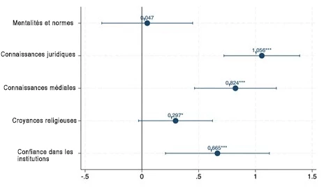
●        L’amélioration des connaissances et le renforcement de la confiance institutionnelle apparaissent comme les ressorts les plus importants : nous avons eu recours à une enquête finale détaillée pour comprendre par quels mécanismes l’intervention agit. Pour cela, nous avons agrégé différentes questions en indices, conformément à notre plan d’analyse prédéfini. En matière de connaissances médicales et juridiques, les étudiants ayant reçu l’intervention ont obtenu des scores supérieurs de 1,1 et 0,8 écart-type par rapport au groupe témoin. De même, la confiance dans les institutions a augmenté de 0,7 écart-type (figure 1, graphique B).

●       Les perceptions religieuses erronées ont reculé : les participants sont davantage susceptibles de savoir que l’islam encourage les dons. Le ressort des « croyances religieuses » est cependant moins robuste et ne résiste pas aux corrections des tests d’hypothèses multiples (figure 1, graphique B).
 

Graphique A. Estimation des effets de l’intervention sur les modifications de carte d’identité 
(par niveau d’approbation familiale présumée au départ et pour l’ensemble de l’échantillon)
 

The World Bank


Graphique B. Estimation des effets de l’intervention sur les résultats secondaires, après agrégation en indices

The World Bank

 

Note : *** et * indiquent une signification statistique aux niveaux de 1 % et 10 %, respectivement.


Les familles jouent un rôle important

L’une des conclusions les plus frappantes concerne le rôle de la famille. Pour l’analyse d’hétérogénéité, nous avons créé un indice de l’approbation présumée de la famille en fonction des anticipations subjectives des étudiants avant l’intervention, de l’éducation des parents et de leur profession (les parents qui travaillent dans le secteur médical sont plus susceptibles de soutenir le don d’organes). Les étudiants dont les familles sont susceptibles d’approuver le don d’organes avaient 7,4 points de pourcentage de plus de chances de modifier leur carte d’identité après l’intervention. Pour ceux dont les familles n’approuvent pas le don d’organes, l’intervention n’a eu pratiquement aucun effet.

Même s’il convient d’être prudent avant de tirer des conclusions de causalité sur la base de ce résultat, cette tendance est cohérente avec les preuves qualitatives suggérant que le don d’organes n’est pas considéré comme une décision individuelle en Tunisie : c’est une décision familiale. Nos autres résultats d’hétérogénéité soutiennent cette interprétation : les effets de l’intervention sur l’enregistrement des donneurs concernent principalement les hommes, qui peuvent être soumis à moins de contraintes familiales que les jeunes femmes. Pour être efficaces, les politiques cherchant à accroître les dons d’organes doivent donc tenir compte des dynamiques familiales qui façonnent les décisions des jeunes adultes.

L’influence des pairs

Nos données sur le réseau social ont révélé une autre tendance intéressante : les étudiants qui ont assisté à l’intervention avec leurs amis étaient plus susceptibles de s’inscrire comme donneurs d’organes. Cependant, nous n’avons pas constaté de retombées significatives parmi ceux qui n’y ont pas assisté. Cela suggère qu’il ne suffit pas de connaître quelqu’un qui a participé à la séance d’information et que le rôle de l’expert qui transmet des informations correctes semble primordial. Néanmoins, le fait d’assister à la séance d’information avec des amis semble amplifier son effet, ce qui souligne l’importance du contexte social dans la recherche de changements de comportement.

Implications pour l'action des pouvoirs publics

Ce type d’intervention informative est économiquement rentable, surtout si on la compare à d’autres « traitements » tels que la dialyse rénale, qui, si elle est médicalement possible, est très coûteuse pour les systèmes de santé et douloureuse pour les patients. Quels autres enseignements les décideurs politiques peuvent-ils tirer de notre étude ?

  1. La parole de personnes de confiance porte : les interventions animées par des experts médicaux peuvent renforcer la confiance envers les institutions, ce qui a un impact direct sur les comportements.

  2. Il est essentiel de garder à l’esprit la dynamique familiale : dans les contextes non occidentaux, les jeunes adultes peuvent avoir besoin de l’accord de leurs parents pour s’inscrire comme donneurs d’organes en cas de décès. Une plus large sensibilisation des parents et des générations plus âgées pourrait donc accroître l’impact de l’information des jeunes. Cette conclusion est d’ailleurs susceptible de s’appliquer à d’autres décisions que le don d’organes.

  3. S’appuyer sur les dynamiques de groupe chaque fois que cela est possible : les étudiants qui ont assisté à l’intervention avec leurs amis étaient plus susceptibles de devenir des donneurs d’organes. Cela suggère que le fait de structurer les interventions de manière à ce que les personnes y assistent avec leur groupe social peut en amplifier les effets.

Principaux enseignements et travaux futurs

La transplantation d’organes sauve des vies, mais seulement s’il y a suffisamment de donneurs. Selon notre étude, des interventions animées par des experts et adaptées au contexte peuvent faire la différence, même lorsque les niveaux généraux de sensibilisation et de confiance institutionnelle sont faibles. L’intervention proposée est peu coûteuse, ce qui en fait une option politique réaliste pour de nombreux pays à revenu faible et intermédiaire.

Nos résultats concernent les jeunes adultes d’une seule université tunisienne. Les travaux futurs devraient donc déterminer s’il est possible d’étendre cette démarche à d’autres universités. Par ailleurs, la question de savoir si les effets sur les connaissances et la confiance persistent à long terme reste ouverte. Une enquête de suivi réalisée dans le courant de l’année permettra de faire la lumière sur cette persistance, et nous avons prévu un deuxième essai. À suivre donc !

 

Christina Sarah Hauser (a) est chercheuse postdoctorale au Collegio Carlo Alberto de Turin, en Italie. Elle a obtenu son doctorat en économie à l’Institut universitaire européen en 2025.

Cette étude n’aurait pas été réalisable sans le soutien conceptuel et pratique du Centre national pour la promotion de la transplantation d’organes (CNPTO). Nous tenons à exprimer notre gratitude au CNPTO et en particulier à la Dre Boutheina Zannad, à la Dre Inès Jaafar, à Khadouja Ben Nakissa et à Mejda Chaouachi. Nous remercions également Leila Triki, Sana Mami, Imen Bouhestine, Lamia Ben Fdhila, Emnaa Chahed et le corps enseignant de l’Université du Sud de la Méditerranée.


Prenez part au débat

Le contenu de ce champ est confidentiel et ne sera pas visible sur le site
Nombre de caractères restants: 1000