Published on Development Impact

Dirty business: Illicit oil and indigenous firms in the Niger Delta: Guest post by Jonah Rexer

This page in:

This is the seventh in this year’s series of posts by PhD students on the job market.

 

Poor countries often turn to multinational companies (MNCs) to supply the capital, technology, and expertise to develop and extract natural resources. But in many weak states, the presence of MNCs in natural resource sectors is violently contested, a common pathology of the well-known “resource curse.” Firms in these markets face numerous security challenges, from conflict with armed groups to theft of natural resources through local illicit markets. In Nigeria’s petroleum sector, decades of armed conflict and a large-scale black market for crude oil have forced supermajors to exit the market entirely. Last year, Shell announced that it would leave Nigeria after 65 years as the country’s leading producer, with plans to divest more than $2 billion in productive assets, mostly to indigenous Nigerian firms. In Nigeria, allegations abound that state security forces protect gangs and armed groups at the expense of MNCs. This is a puzzle, since MNCs should have high willingness to pay for the state’s protection, and yet spend lavishly on private security to little avail.

This observation raises several questions: i) are weak states unable, or simply unwilling, to secure the property rights of MNCs? and ii) what happens when the MNCs leave the sector to smaller, but potentially better-connected local firms? In my job market paper, I argue that state protection is characterized by a fundamental commitment problem – a lucrative illegal sector gives law enforcement strong incentives to allow criminal activity, and firms lack the ability to enforce corrupt bargains with the state. As a result, MNCs are subject to state-sanctioned predation. Indigenous firms, however, may have a comparative advantage in corruption (Javorcik and Wei 2009), what I call “the local advantage.” By appointing political and military elites as shareholders and directors, local firms make state agents residual claimants on private resource income. In return, local firms obtain protection from criminal predation, allowing them to outperform their better-resourced multinational peers.

Can local ownership solve the resource curse? To answer this question, I use granular data on Nigeria’s oil sector over several decades to study a major indigenization reform in Nigeria which increased the onshore market share of local firms from 6% to 40% between 2006 and 2016. Using this wave of divestment, I estimate the effect of local participation on oilfield output, resource theft, armed conflict, environmental outcomes, and law enforcement responses.

Data and design

Identifying local advantage is an empirical challenge for two reasons. First, we need a large-scale policy shock to generate sufficient variation in local ownership over space and time. Second, the corruption that might underlie the local advantage is inherently unobservable, requiring the right data to infer a quid-pro-quo.

To solve the data challenge, I use Nigerian government administrative records to compile a detailed dataset of oilfield production and asset ownership from 1998-2016, forming an annual panel of 314 active oilfields. I add to this data on several other oilfield performance outcomes – illicit oil theft, militant violence, oil spills, and gas flaring. To measure the law enforcement response of the Nigerian state, I compiled and coded thousands of local news media reports about military and police actions against the illegal oil sector.  To measure political connections, I partnered with a due diligence firm to collect corporate records on all the firms in the industry and conduct in-depth biographical research on their board members and shareholders.

For identification, I leverage a major 2010 policy reform – the Nigerian Local Content Law – which legislated preference for indigenous firms in all oil asset transactions. After the law, multinational divestments were unlikely to be approved unless the buyer was a Nigerian firm. The effect of the law is clear in Figure 1, which plots local participation in the sector over time, measured by either the total number of local fields (Panel A) or the local market share (Panel B). Local participation grows substantially after 2010, primarily in the onshore sector where multinationals are exposed to heightened security risks. Though the reform equally applied to the offshore sector, multinationals were initially more willing to divest from risky, languishing onshore fields, hoping to refocus on offshore assets.

Figure 1: Local participation in the Nigerian oil sector over time

Image

The local content reform generated a large-scale indigenization policy experiment. I use this variation in a staggered adoption differences-in-differences (DD) approach that leverages the staggered roll-out of divestment over time to identify the causal effect of local participation on oilfield performance. Out of 314 fields, 94 are ever-treated in our sample period of 2006-2016, with 56 that switch from MNC to local. Spatial and temporal variation is driven by both divestment choices of MNCs and an idiosyncratic approval process that makes the precise timing of divestment somewhat unpredictable. While there is evidence of selection in the characteristics of divested fields, the parallel trends assumption implies only that assets must not be selected on trends. To probe this assumption, I use a placebo test involving fields targeted for divestment but not ultimately divested. Finally, in a staggered DD setting, dynamic treatment effect heterogeneity may bias the standard two-way fixed-effects estimator (Goodman-Bacon 2021). To address this concern, I use a “stacked” event-study estimator (Baker et al. 2021) that purges already-treated units from serving as controls. I further test robustness to alternative DD estimators such as those in Callaway and Sant’Anna (2021) and de Chaisemartin and d'Haultfoeuille (2020).

Key results

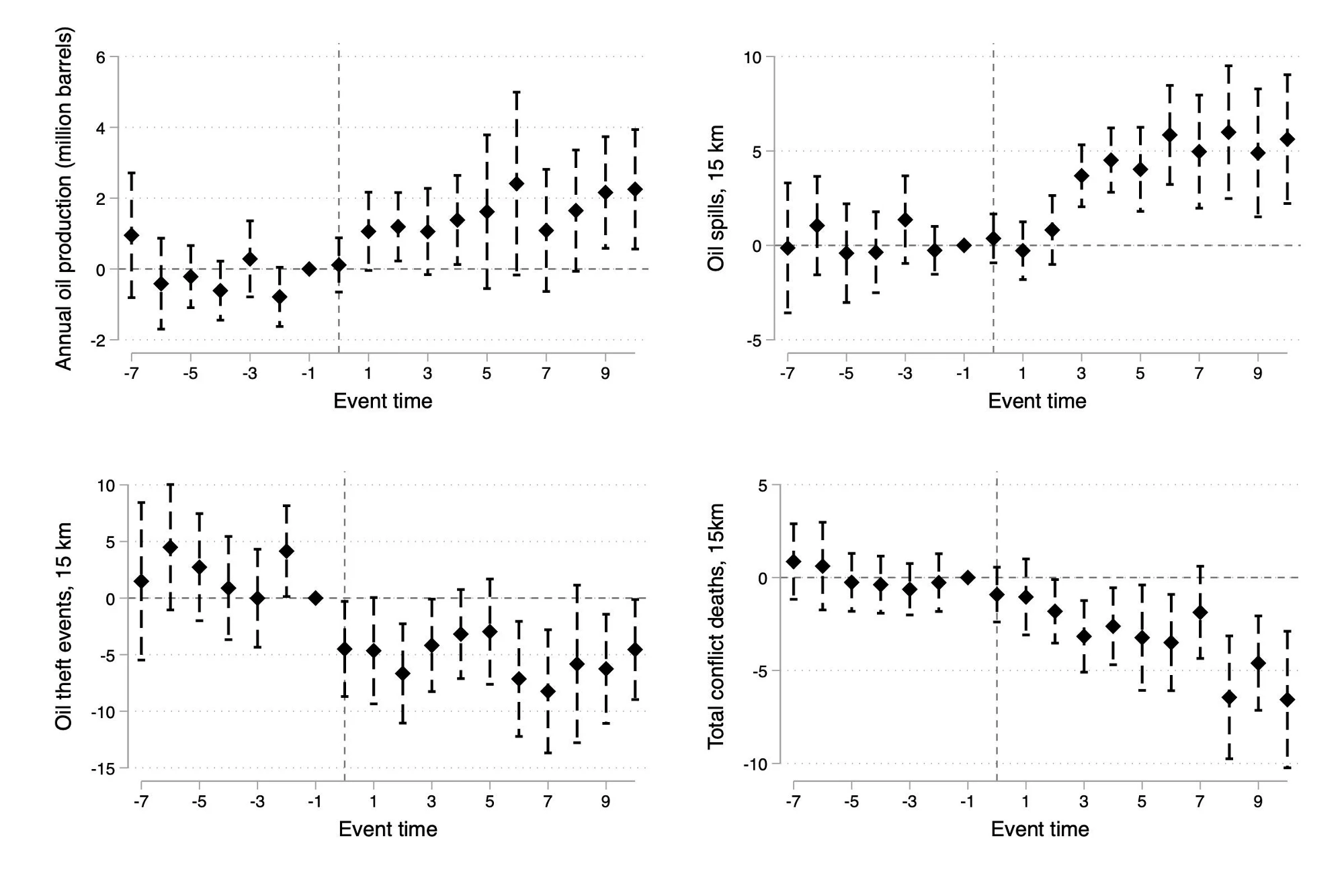
Figure 2 tells the story of the local advantage – this event-study plot shows the average difference in outcomes between divested and control oilfields in years before and after divestment. Local firms seem to revitalize newly acquired assets – divestment leads to a 33% average annual increase in oil production, sustained for up to a decade after divestment. This increase occurs despite evidence that local firms are of lower quality. Divestment leads to an 18% average annual increase in oil spills due to operational failure, as well as increases in gas flaring (not pictured). I interpret this effect as evidence that local firms are less likely to maintain infrastructure, leading to greater rates of operational failure. The result implies that indigenization increases the environmental footprint of oil extraction.

Figure 2: event study impacts of divestment on oil production, oil spills, oil theft, and conflict

Image

How are less capable local firms able to increase output on the same assets? The bottom panel of Figure 2 shows that local advantage is driven by security. Local participation decreases incidents of oil theft by 45% on average annually and leads to large declines in violent conflict deaths. In an additional analysis, I split the sample by onshore and offshore assets and show that the local advantage is driven by onshore fields, where security risks are concentrated. In contrast, the local disadvantage in oil spills is driven by offshore properties, which are substantially more complex and costly to operate.

What drives local advantage?

How do local firms solve the security challenges of the Niger Delta? To answer this, I build a simple bargaining model in which firms offer bribes to the Nigerian armed forces for law enforcement protection. Oil theft is costly, and firms are willing to pay handsomely for state protection. However, firms face a commitment problem – large illegal sector rents create strong incentives for the military to protect oil theft gangs. Knowing that the state may renege on a deal, firms refuse to pay bribes. However, firms can solve this commitment problem by providing military elites ownership stakes. Such political connections force the military to internalize oil theft losses, so that they are willing to protect assets even in the absence of bribes.

I then take this model to the data to test its key predictions. First, we should see that local firms’ assets receive preferential protection from the Nigerian state. I find that divestment leads to a doubling of law enforcement actions against the illegal oil sector. But is this driven by local firms’ superior political connections? The data reveal that while 80% of firms in the sector are connected, local firms are not more likely to be connected than multinationals. Importantly, however, the composition of connections differs markedly. Roughly 30% of local firms are connected to military elites, while no multinationals are. These are precisely the types of connections that matter for law enforcement protection. Figure 3 plots the correlation between field-level oil theft and various indicators of political connections. Only connections to the security forces are significantly associated with reduced theft, while all others are null. The results suggest that local firms’ superior connections to military elites drive the local advantage.

Figure 3: correlation between field-level oil theft and political connections

Image

Implications

The results contain important implications for both research and policy. Weighing the relative merits of foreign and local capital is a perennial issue in international economics. The empirical literature generally finds strong evidence for MNC productivity advantage (Aitken and Harrison 1999Alfaro and Chen 2018). However, my results show that the political economy of violent, corrupt markets may undermine the MNC advantage. As a result, protectionist indigenization policies may actually increase sectoral output, rather than simply transferring rents to inefficient local firms. However, the broader welfare effects are difficult to discern – local firms reduce violent crime and armed conflict, but also increase negative environmental externalities. The results highlight the complex tradeoffs involved in industrial policy for the natural resource sectors of fragile states.

Jonah M. Rexer is a Postdoctoral Associate with the Empirical Studies of Conflict (ESOC) project at Princeton University. He holds a PhD in Applied Economics from the Wharton School of Business, University of Pennsylvania.


Join the Conversation

The content of this field is kept private and will not be shown publicly
Remaining characters: 1000